-
HardverApró
Ha egy termék garanciális ügyintézésével kapcsolatban kérdezel, akkor a könnyebb segítségnyújtás érdekében adj meg minél többet a következő adatokból:
Új hozzászólás
-
válasz
arcitec
#28299
üzenetére
Azért a számla + jótállási jegy (nyomtatott és eredeti PDF formában) + utolsó 9 hó részlet fizetési igazolás megléte, TMX munkalap és csere utalvány azért már elég bizonyító erejű...esetleg ha ez sem elég, akkor ott van a "mobiltelefon adás-vételi" szerződés, melyen rajta van sz.ig. szám, anyja neve, mail, mobil szám, stb... akár fel is hívhatják és be is azonosíthatja magát.
-
arcitec
addikt
Írd le a jogszabályt, mert ezt itt csak - már elnézést - TE állítod, ami lehet, hogy így is van
de mint a tulajdont, az állítást is bizonyítani kell. Az hogy egy "tulajdoni lap/okirat" nálad van, az attól még lehet lopott is nem de? Amit írtam az egy jogszabály részlet és egyértelműen írja, hogy bizonyítani kell a tulajdont arra utaló irattal.
Az első vétel "csak" az eredendő tulajdonost igazolja.
És ez azért elég sok mindennel van így, nyilván van, hogy szigorúbban is. 
-
Gabesz87
veterán
Telefont tervezek venni. Az lenne a kérdésem, hogy mi a lényegi kül. ha én hivatalos forgalmazóktól (nagyobb boltból, mint pl. Telekom, MediaMarkt, Samsung websoph/SES) veszek telefont gyártói garanciával, vagy ha valamilyen egyéb (Árukeresőn szereplő, és megbízhatónak jelölt) boltból veszek, ahol forgalmazói, nem gyártói garancia van, de a törvény szerinti 3 év garancia persze adott! Az árkül. olykor 100-150e Ft! Ráadásul a lakásbiztosításomban van olyan csomag, ami műszaki/elektronikai termékekre, háztartási gépekre, telefonokra 5 év garit biztosít. Emiatt nem látom értelmét/szükségét, hogy jóval drágábban megvegyem egy hivatalos boltból.
-
-
arcitec
addikt
válasz
MaxxDamage
#28293
üzenetére
Itt egy magyarázat és e szerint ha az adásvételit viszed nem nagyon lehet gond: [link]
És még egy magyarázó - nem feltétlen neked, hanem .... -
Az ügyintézés a jelenlegi tulajdonos által igazolható kell legyen:
"az ügy elintézéséhez szükséges, hogy a jelenlegi tulajdonos valamilyen módon hitelesen bizonyítsa (például dokumentummal, nyilatkozattal, igazolással) az adott ügyben való jogosultságát, beleegyezését vagy az általa elvégzett lépéseket."
És ez jogi megfogalmazás nem feltétlen ASZF, ha esetleg tartalmazza is...
Azért majd írd meg hogy ment ...... -
válasz
Lackooo84
#28292
üzenetére
Pontosan!
Ezzel csak az a problem, hogy nem gyártóhoz szól, hanem szolgáltatóhoz.
Elviekben beváltható az által aki nevére szól (biztosan) de ha gyártónál lenne érvényesíthető, akkor még egyszerűbb volna az.
Szolgáltatói (Telekom) ÁSZF ezt hogyan szabályozza, nem néztem még utána. -
Lackooo84
nagyúr
Csak így bele vau-vau, de tudomásom szerint a csereutalvány az nem névre szóló dokumentum... Az egy igazolás arról, hogy egy jogos jótállási igényben leadott termék javíthatatlan.
-
-
ACE-
addikt
válasz
MaxxDamage
#28288
üzenetére
Most valós problémával állunk szemben vagy csak előre predesztinálod a problémákat? Lehet bemész, kérnek egy számlaszámot hova utalják, és 5 perc múlva ott lesz a számládon a pénz... vagy az is lehet kp-ben odaadják.
-
asdf_
veterán
válasz
MaxxDamage
#28288
üzenetére
Lehet hiába van adás vételi, ha a szolgáltatói ÁSZF-be ütközik....
Lehet, de engem ez abből a szeompontból nem érdekelne, hogy a PTK-t egy nyomi szolgáltatói ÁSZF-nek nincs módjában felülírni. 🤷♂️
-
Akkor van baj mikor viszek egy Samsung által kiállított csere utalványt a szolgáltatóhoz és az utalvány az névre szól, de a szolgáltatónál vásárolt telefon már nem.
Főleg ha a telefon már nincs készleten, mert 2+ éve kifutott.
Ha eljuto odáig az utalványt bemutató.
Aztán ha kp. vissza lenne...az sem egyszerű, mert nem az a személy fizette aki az utalványt lobogtatja(?)Azért kíváncsi leszek mi hozható ki ebből...a héten be fogok menni a közeli T pontba.
Lehet hiába van adás vételi, ha a szolgáltatói ÁSZF-be ütközik....ugye MT azonosító, szolgáltatói ügyfél, stb..😞 -
luciferc
őstag
Ez már többször volt téma, pedig a Ptk egyértelmű:
6:172. § [Jótállási jogosultság tulajdonosváltozás esetén]
A jótállásból eredő jogokat a dolog tulajdonjogának átruházása esetén az új tulajdonos érvényesítheti a jótállást vállaló kötelezettel szemben.Ennyi. Mivel jogszabály nem ír elő írásbeli szerződést, ellenben ismeri a szóbeli szerződés fogalmát, ezért a jótállást vállaló kötelezett sem kérhet írásbelit. És persze, ha megoldható, akkor hagyni kell a retardáltakat, de jó tudni, hogy ha nem lehet ilyen papírt készíteni, akkor sincs gond.
Mellesleg el se kellene mondani, hogy nem az eredeti tulajdonos az ember. -
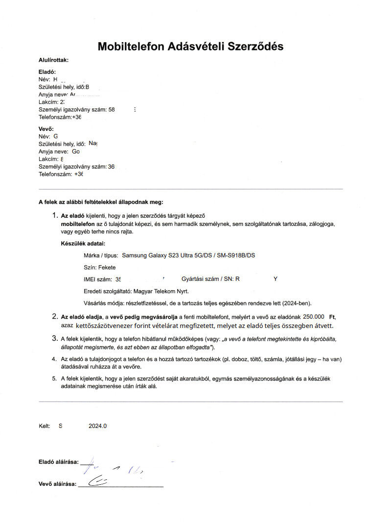
Ez így már rendben lesz? [kép] (ki van töltve, alá van írva, dátumozva, stb..)
Számla, Jótállási jegy, TMX szerviz munkalap, Samsung csere utalvány, + a részletfizetés igazolás (utolsó 9 hónap) nyomtatott változata is megvan.Akkor ezzel így már mehetek a legközelebbi Telekom üzletbe?
Ha elhajtanának akkor kérjem a vásárlók könyvét (IS) és írjak be valami szépet?
-
asdf_
veterán
válasz
arcitec
#28280
üzenetére
Nemtom, én ha lehet, harcolok a baromság ellen, persze van, amikor nem lehet. Pl. amikor támogatásnál, egy elektronikus számlára aláírást és pecsétet kér az ügyintéző, akkor sajnos nem lehet leállni vele vitatkozni, hogy te *$@&#&#&, az elektronikus számla elektronikus formában érvényes, kinyomtatva egy nagy darab semmi (és olyanba vele sem mentem, hogy áfatörvényben leírtak alapján egy számla lehet aláírás és pecsét nélkül is érvényes, sem olyanba, hogy a vállalkozót az égvilágon semmi nem köti, hogy egyáltalán pecsétje legyen). Ilyennél én pl. üvöltve tudnék kirohanni a világból, de nem lehet, fejét kell hajtani az ostobaság előtt és pecsétet meg aláírást kell szerezni a jogilag semmit nem érő sajtpapírra. Mert az okos ügyintéző szerint az ügy a jó...
-
arcitec
addikt
Nézd nem akarom ezt ragozni, de a banki tolvajokat sem nagyon tudják elfogni, ügyebár.
Autót miért nem tudsz szóbeli megállapodással vásárolni? Lehetne sorolni.
Egyértelmű jogszabályt kellene leraknod, de ügye az meg nincs és láthatod, hogy készül is a telefonra az adásvételi. Bár közjegyző/ügyvédi pecsét azt sem fogja látni ...![;]](//cdn.rios.hu/dl/s/v1.gif)
(Pedig az igazi az lenne.. bár .......
).
Szóval vannak lehetnek bajok, nem kell azt még tetőzni ....
-
asdf_
veterán
válasz
arcitec
#28277
üzenetére
Lényegtelennek kell legyen ez a szolgáltató számára. A panaszosnál (aki amúgy a jelenlegi tulajdonos) van a telefon (tehát az eredeti tulajdonos már eleve -képzavarral érve- birtokon kívül van), tehát nincs már mitől megvédeni a telefon eredeti vásárlóját, mert nem nála van a telefon, őt már kár nem érheti (mert ha érte volna, az már megtörtént).
Itt nem az van, hogy megvan az autód, kicsalják alólad és az okmányiroda segít átírni, hanem az az alapállapot (az eredeti tulajdonos szempontjából), hogy már eleve nincs is meg az autója.
Az új tulaj jelentkezik a telefonnal az eladónál, intézi a garit, azt mondja, hogy szóbeli szerződés alapján ő a tulajdonos, a jótállási jogok őt illetik (A PTK ALAPJÁN IS 'sszameg, legyünk már észnél), tehát megadja a bankszámlaszámát (amit amúgy ugyebár a pénzmosós törvény alapján a bank x évente ellenőriz, hogy kihez tartozik a bankszámlaszám, tehát ha csibészkedés van, meg lehet fogni azt, akit meg kell fogni), de a jelenlegi tulajdonos van olyan mocsok jófej, hogy ugyan az égvilágon semmi nem kötelezi rá, de hajlandó azonosítani magát, sőt, még okmányainak másolásához is hozzájárul, csak kapja meg azt a pénzt, ami a saját tulajdona alapján neki jár, ha én lennék az a panaszos, akkor nincs az az isten, hogy az a pénz előbb-utóbb, nem nálam köt ki (anélkül, hogy a régi tulajdonost szogatnám, hogy te figyu, szitu van, írjunk már egy adásvételit utólag, mert a szolgáltató önhatalmúlag rendőrt játszik). Szerintem totális nonszensz ez a baromság, hogy adásvételit kérnek és semmi jogi alapja nincs. -
válasz
MaxxDamage
#28276
üzenetére
Mehet a korábbi amikor a készüléket vetted és azon az áron vagyis a valós adásvétel.
Visszafizetésnél ha arra kerülne sor ez nem releváns. A számla szerinti vételárat kell visszakapd! -
arcitec
addikt
Értem az érvelésed, de nem ment át a tartalom amit írtam. Azon túl, hogy minden dokumentum nála van, még nem feltétlen bizonyított a tulajdon. Az egy dolog, hogy a szerviz nem azonosította jogilag is a hibás készülék bejelentőt. Egy telefon az szerintem továbbra is mást képvisel(minden szempontból) mint egy mosógép.
De persze legyen igazad ez "csak" az én véleményem .... Minden jót ...
-
válasz
Fox Mulder
#28274
üzenetére
Csináltattam Chat GPT-vel is és akár az is jó lehet? [kép]
Kérdés, hogy árhoz mit is írjunk és dátumot mit adjunk meg, mostanit, vagy korábbit? (sacc./kb a vételi időt?)
-
asdf_
veterán
válasz
arcitec
#28273
üzenetére
Annyiban nem egyértelmű amit írsz, hogy nem a garanciális ügyintézéshez kellenek a dokumentumok, hanem a cseréhez ami készülék az eladóval egy külön szerződés tárgyát képezi.
Szerintem meg a vevő/jelenlegi tulajdonos a jótállási/szavatossági igényét érvényesíti, melynek végkifutása -amennyiben a jótállásra kötelezett nem tudja a készüléket javítani vagy újra cserélni- az eredeti állapot visszaállítása, hogy a vevőnek nincs telefonja, ellenben van pénze (tehát NEM történik semmi új szerződés, az eredeti állapot visszaállítása az pedig maga a garanciális ügyintézés vége, annak utolsó eleme).
Hogy ezen kívül az eredeti vásárló és a szolgáltató között egy szolgáltatás kapcsán (tehát NEM a telefonvásárlás kapcsán) mi történik, ahhoz a telefon jelenlegi tulajdonosának semmi köze (alapvetően amúgy semmi, lejár a hűség a vevő meg a hűség lejárta után új szerződést köthet és ezzel egy kanyarban kedvezményesen új készüléket vásárolhat). -
válasz
MaxxDamage
#28272
üzenetére
Pofon egyszerű nem kell túlragozni, az első google találat jó erre a célra.
Egy jegyzettömbbe kimásolva a szöveg is szerkeszthető, adatokat beír és kész.
( Képviselő sor, adószám, nem is kell ) -
arcitec
addikt
Annyiban nem egyértelmű amit írsz, hogy nem a garanciális ügyintézéshez kellenek a dokumentumok, hanem a cseréhez ami készülék az eladóval egy külön szerződés tárgyát képezi. Azon túl a telefon az nem egy egyszerű használati eszköz(bármi), nem véletlen kell pl a feltőtőkártyásoknak is évente adatot egyeztetni, egyébként elveszti a számot.
Voltak már visszaélések telefonnal kapcsolatban rendesen, amikor példul X használta nem fizetett és Y-tól kérték a díjakat(Akinek amúgy semmi köze nem volt hozzá).
A mai világban nagyon résen kell lenni. -
Valaki tud segíteni megfelelő adás-vételi szerkesztésben?
Nagyon megköszönném, akár privátban is rám írhat, sajnos nincs ebben nagyon tapasztalatom!
-
-
gippazoid
őstag
Sziasztok!
Autóval kapcsolatosan hogyan lehetne meglehetősen nyomatékos panasszal élni?
Importőrnek írt mail lehet hogy kevés lesz már.
Kezdjem azonnal ügyvédi felszólítással, vagy hogyan érdemes nekiindulni?
Elvileg az importőr egyszer már elutasította a garanciális alaktrész cserét, de hozzám ez direktben nem jutott el, megszűrte a márkaszerviz, állítólag ők leveleztek az importőr egyik márkájának garis ügyintézőjével. -
-
asdf_
veterán
válasz
MaxxDamage
#28267
üzenetére
Szerintem nem feltétlen, mert a megbízási szerződés azt sugallja, hogy te csak eljársz helyette a garis ügyintézés során, és a termék még az övé. Nem mellesleg nem hozod vele egyenesbe a történetet, mert ha nem pénzvissza a történet vége, hanem előásnak valahonnan egy nullikilométeres telefont cserének (bár errre itt most nem nagyon tűnik esély, hiszen a szervizről pattantál le), akkor annak nulláról indul a garija és ha később meghibásodik, ugyanúgy ott állsz majd kopasz seggel, mint most.
-
válasz
Fox Mulder
#28265
üzenetére
Ilyen esetben egy megbízási szerződés is elég vagy tévedek?
-
ACE-
addikt
válasz
Fox Mulder
#28263
üzenetére
Na de kérdezem én, elkérheti a személyidet hogy megnézze Te vagy-e? Max. egy számlaszámot kérhet és azt is azt mondok amit akarok, szóval érdekes ez... furcsállom hogy egy garis ügyintézésnél adásvételit kérnek. Igazából elég lenne a garanciapapír is. Jogszabály is csak ezt írja elő. Bocs de ezt nehezen hiszem el...
-
válasz
MaxxDamage
#28264
üzenetére
Egy egyszerű ingó adásvételi elég hozzá, lényeg, hogy írjátok rá a termék pontos adatait.
-
válasz
Fox Mulder
#28261
üzenetére
Beszéltem azzal aki vette és nevére szól a számla és azt mondta ő sem érti ezt, de segít ha kell és ez a megoldás...
Adásvételi lesz.
Van erre valami sablon amit ki kell tölteni, vagy mit javasoltok, mi legyen benne?
-
Mert a számla ami a kezében van másnak a nevére szól.
Az eladó ővele áll szerződésben.
Amennyiben Békéltető testületi meghallgatás van akkor is ezzel kezdik, kérik az adásvételi szerződést vagy meghatalmazást ami az eredeti tulaj ad neked.
Nem egyszer volt részem benne, ez így megy. -
ACE-
addikt
válasz
Fox Mulder
#28261
üzenetére
Milyen alapon nem fogadják el? Te elmondod, hogy megvetted, nálad a számla, gerjegy, semmilyen joguk nincs feltételezni, hogy loptad. Ők csak tegyék a kötelességüket, és a cserére jogosító igazolás alapján cseréljék vagy fizessenek. Nekik is kifizeti majd a gyártó.
-
-
asdf_
veterán
válasz
MaxxDamage
#28259
üzenetére
Mindegy, a lényegen nem változtat, szerintem semmi jogi alapjuk nincs arra, hogy ne kapd a kezedbe a zsetont.
-
-
asdf_
veterán
válasz
MaxxDamage
#28257
üzenetére
Van benn igazság, de erre azt szoktam mondani...
"szó elszáll, az írás megmarad"
.Na de bakker, te nem kötöttél írásbeli adásvételit. Érzed az önellentmondást, ugye?

-
-
ACE-
addikt
válasz
Fox Mulder
#28255
üzenetére
Létezik szóbeli szerződés is...
-
válasz
MaxxDamage
#28254
üzenetére
Mivel az eladó jogilag a vásárlóval áll szerződésben számla alapján, így egy adásvételi szerződéssel ezek a jogok rád szállnak. Ha azt tudsz “szerezni” akkor azzal probléma nélkül kellene menjen a dolog!
-
-
ACE-
addikt
válasz
MaxxDamage
#28252
üzenetére
Akkor a számlán lévő összeget kell kapnod.
-
-
asdf_
veterán
Én előhúzom a szokásosst, adásvétel esetén a jótállás és szavatossági jogok átszállnak a vevőre (PTK), az adásvétel miatt ezek jogosultja te vagy, így minden neked jár, az adásvétel pedig szóban köttetett, így mindenki elmehet a bánatosba és rakhatják a cserekészüléket a kezedbe.
Egy csavar lehet a dologban, hogy ha még nem járt le a részletfizetés, ekkor ugyanis az eredeti szerződésben lehetett olyan, hogy a részletek teljes kifizetéséig nem a vevő a telefon tulajdonosa (így akár el sem adhatta volna), de az ottani feltételeket nem tudom, soha életemben nem vettem szolgáltatótól telefont, részletre meg különösen nem, így nem vagyok tisztában az ilyenkor alkalmazott részletekkel. -
Sziasztok,
Csak érdeklődnék, mik a lehetőségek, pro/kontra.
Van egy Samsung telefon (itt vettem PH-n) amit 1+ éve és használok.
Kaptam hozzá számla és gari dokut, részletfizetés befizetés igazolást, mindent ami kellhet.
Beküldtem a TMX-hez a készüléket garanciális javítás céljából (nem volt nagy baja) és 2-3 napra rá kaptam csere utalványt (ma hozta a futár) és munkalapot is. (mind2 a nevemre szól)
A kérdés csak az, hogy az utalvány és munkalap a nevemre szól, de nem én vettem a T-nél az eredeti készüléket és így a részletfizetés nem az én nevemre szól(t). A T ügyfélszolgálata szerint ilyen esetben mind2 fél jelenléte szűkséges az utalvány érvényesítésekor. Ez mennyire állja meg a helyét? Távolság és munka miatt ez kivitelezhetetlen...
Telekom írt egy mailt a T-s vezető felé, leírva az esetet és ő dönt arról, hogy engedélyezi-e számomra az egyedüli ügyintézést vagy csak mind2 fél jelenléte mellett váltható be a csere utalvány...
TMX-nél is rákérdeztem, ezt a választ kaptam: [kép]
Járt már valaki hasonlóképp? Mire számíthatok?
-
BITBOYS
addikt
Hölgyek/Urak,
Elnézést kérek amiért nem jelentkeztem korábban.
Sajnos keményebb hangvételű levelet kellett megfogalmazni velük szemben. Arra már válasz sem érkezett, de másnap visszakaptam a vásárlás összegét a számlámra.
Ügy lezárva
Mindenesetre sajnálom a kialakult helyzetet, mert az üzletben kedvesek és segítőkészek voltak az értékesítők. Akikkel leveleztem azok is tették a dolgukat, csak a backoffice és a pénzügyi osztályuk egy tragédia.
A kiszállítással foglalkozó munkatársak is gyorsan és biztonságosan csomagolnak. Minden a legnagyobb rendben volt.
Hiába a rengeteg akció, jó áru termékek... részemről offolom a cégüktől való vásárlást a továbbiakban.Köszönöm a figyelmet és a válaszokat az ügyben
-
Az üzletnek azért mert az emberek nagyobb százaléka hagyja a fenébe az egészet mikor meghallja, hogy Békéltető testület majd utána bíróság stb és nem akar vele foglalkozni mert nem ért hozzá és azt gondolja ez sok idő és foglalkozás, pedig nem.
Erre játszanak.Amúgy nem olyan nagy összeg, 50.000FT volt egy 110.000FT-os terméknél ami mostanában volt a nyáron.
Itt vannak százalékos értékek amik nőhetnek egyenes arányban nagyobb értékű terméknél, de a java fix díj.
Ebben benne van a bírósági 5000FT díj is amit előre kell fizetni de ezt is behajtják.
-
ACE-
addikt
válasz
Fox Mulder
#28245
üzenetére
És miért éri meg nekik hogy kifizetik pluszba a végrehajtás költségét is? Ami általában nem is kevés, mert van egy minimum összeg, értéktől függetlenül.
-
-
arcitec
addikt
válasz
Jester01
#28242
üzenetére
Értem és ha ennek ellenére sem teljesít? Megy a végrehajtó?
Egyébként itt írtak egy történetet, nem derül ki mikori. Őszintén a topik írásaiból kiindulva(az itteni) szerint én nem igazán értem a történetet és az "ügyvéd urat"..
-
Jester01
veterán
válasz
arcitec
#28241
üzenetére
250000Ft alatt a békéltető határozata kötelező érvényű lásd 1997. évi CLV. törvény:
32. § Egyezség hiányában a tanács az ügy érdemében
a) kötelezést tartalmazó határozatot hoz, ha
ab) a vállalkozás alávetési nyilatkozatot nem tett, de a kérelem megalapozott és a fogyasztó érvényesíteni kívánt igénye a kötelezést tartalmazó határozat meghozatalakor nem haladja meg a kétszázötvenezer forintotTovábbá:
36. § 3) Ha a vállalkozás a tanács kötelezést tartalmazó határozatát vagy a határozattal jóváhagyott egyezséget a teljesítési határidőn belül nem hajtja végre, a fogyasztó kérheti a bíróságtól a tanács határozatának végrehajtási záradékkal történő ellátását
-
BITBOYS
addikt
Konzolvilág
Nem kis cég, mindenhol hirdeti magát, ráadásul elég régóta a piacon van.
2025.08.10-én adtam le üzletükbe egy gyári hibás terméket amit weben keresztül vásároltam meg.
Pénzvisszafizetést választottam, nagyon más lehetőséget nem is kaptam vagy ajánlottak.
Namármost azóta nem voltak hajlandók visszautalni a termék árát, folyamatosan csak hárítanak, hogy várjak türelmesen és a pénzügyi osztályuknak jelezték a problémámat.
Vártam de semmi... majd egy következő levelemre már az a válasz érkezett, hogy.."Rendszerünkben történt ellenőrzést követően úgy látom, hogy tranzakciója rögzítésre került pénzügyi osztályunk rendszerében és rövidesen megtörténik a visszatérítés."
Ez a válasz 2025.08.26.-án érkezett.
Legutóbb 4 napja írtam rájuk ismét, megint ugyanaz a válasz... jelezték a pénzügyi osztályuk felé.
26 ezer forintos tétel, azért csak nem hagyom veszni.
Viszont a 30 napos szerződésben meghatározott időtartamot nem tudják vagy akarják betartani, és igazából a le vagy sz#rva hozzáállást tanúsítják az ügyben.Visszaolvastam itt a fórumon és korábbi poszt is pontosan erről szólt... nem akarnak visszafizetni, csak hitegetnek a válaszukkal.
Szóval ezek tudatában vásároljatok ettől a cégtől! -
Silentfrog
veterán
Sziasztok!
Visszavittem garanciában javíttatni egy rollert, ( Segway, 200+ ezer ft volt ) egy ismert nagyobb elektronikai cuccokat áruló céghez.
Amikor visszavittem, azt mondták másnap küldik szervizbe külföldre ami több hét.
Ok, nem aggódok rajta, de ránéztem merre jár a rollerem a nyomkövetővel amit beletettem és látom hogy 3 hete meg sem mozdult, pont ott van a boltba ahova bevittem.
Mivel úgy tudom hogy a rollerre nincs az egy hónapos kötelező csere, vagy pénzvisszatérítés, így nem tudom mikortól kezdjek nekik irkálni hogy csesszék meg.
Érdemes erőlködnöm, vagy hagyjam rá egyszer csak kész lesz max jövőre használom csak. -
-
Peetey91
senior tag
válasz
Fox Mulder
#28232
üzenetére
Már kaptam is választ:
”…igyekszünk vállalkozók számára is biztosítani ugyanazt a jótállási időt, mint amit magánszemélyek részére nyújtunk, amennyiben ez lehetséges.” -
-
Peetey91
senior tag
válasz
Fox Mulder
#28230
üzenetére
Így lesz köszi!

-
-
Peetey91
senior tag
válasz
Fox Mulder
#28227
üzenetére
Pont engem is ez érdekel, Alzánál ha egy terméknél (iPhone, VGA kártya, stb) az szerepel, hogy 36 hónap garancia akkor én ha EV-ként veszem meg EV adószámmal akkor a 36-ot adják rá?
-
gyuribácsi88
addikt
válasz
Fox Mulder
#28227
üzenetére
Nem vettem még meg, csak erdeklődöm, de szerintem el is engedem ezt a céges vásárlást, mert ha magánszemélyként veszem akkor van amire 10 év garit kapok, meg van amire 5-öt. Így nem nagyon éri meg cégre venni.
-
válasz
gyuribácsi88
#28226
üzenetére
Ahogy mondod, valahol ugyan úgy él a 3 év valahol pedig csak egy.
Ez egy hatalmas szürke folt, de Alzánál saját cégre vetted vagy használtan egy másik cég névre szól? -
gyuribácsi88
addikt
Sziasztok, nagyjából átnyálaztam a topikot (már ami a céges vásárlás részt érinti), páran írták hogy pc alkatrésznél céges vásárlás esetén is 3 év garit ad az Alza.
Ez most hogy van hivatalosan, céges vásárlás esetén 1év az alap, de van aki ad hármat is? Ezt üzlete válogatja?

-
kiir
tag
válasz
arcitec
#28220
üzenetére
Nyilván a hasonlat nem azonosság. De: a tv működik felszerelés nélkül is, ellenben egy ajtóval mit kezdek a falnak támasztva? Továbbá nem "valakivel" felszereltettem, hanem ugyanattól a társaságtól beépítéssel együtt rendeltem meg. Most meg kiderül, hogy ha az ajtó a rossz, akkor menjek a gyártóhoz, ha meg a beépítés, akkor menjek az alvállalkozóhoz, ők mossák kezeiket...
A kép nem mutat semmit, kicsit lóg az ajtó, de lényegében észre sem veszed. Csak éppen a kilincs nyelve nem záródik. Egyébként mindegy, mert ha marha egyértelmű jogszabályra nem tudok rámutatni, akkor nincs mi alapján veszekednem. Marad a szerződés szerinti egy éves, azaz lejárt jótállás.
-
arcitec
addikt
válasz
lala666
#28218
üzenetére
Nem értem ezt a hozzászólást, a 3 év az egyértelmű volt, nincs és nem is volt értelme
ezen rugózni...
#28219kiir :
Ha linkelnél esetleg fotót az ajtóról mondhatna valamit. Amúgy nem jó a hasonlatod.
Inkább ha veszel egy tv-t és felszerelteted valakivel a falra és onnan később le akar jönni
talán az inkább korrelál a problémára. -
kiir
tag
válasz
arcitec
#28214
üzenetére
Köszönöm a választ mindenkinek. Csak a tisztaság kedvéért: az ajtóra 3 év garit írnak, megegyezően a jogszabállyal; a számla magánszemélyre szól; én sem tudom, hogy mi okozta a hibát, csak látom, hogy van.
Ezek szerint létezik olyan, hogy az ajtóra más gari van, mint a beépítésére. (Kb. mintha egy autóra úgy lenne sokéves gari, hogy egyhelyben áll üres tankkal -- de ha megtankolom, akkor hiba esetén először a benzinkút jön ki megnézni pénzért, hogy hátha a benzin a hiba.)
-
arcitec
addikt
válasz
turbobusa
#28215
üzenetére
Több esélyes a dolog. Ha van kaphatsz ez újat. Vagy és ha nincs pénzvisszafizetés, oszt olyat veszel újra ami neked tetszik. Az Alza többnyire pénzt ad vissza, de ha minden igaz akár lehet választani is.
Miféle a fülhallgató, mert ha jó a minősége azok azért 2 évet bőven mennek sőt az enyém már elmúlt 3 is és tökéletes. -
turbobusa
senior tag
Sziasztok! Vásároltam egy vezetéknélküli fülhallgatót az Alza-nál, amire 2 év garancia van. Ha időközben ez a modell kifutna, akkor hogyan történik a jótállás érvényesítése? Kapok egy kupont vagy ebből a márkából egy hasonló modellt adnának? Vagy ilyenkor biztosan ez a modell fut ennyi évig?
-
arcitec
addikt
-
lala666
őstag
válasz
arcitec
#28210
üzenetére
Ez a jogszabály.
A garanciális jogszabályokat Magyarországon a 10/2024. (VI. 28.) IM rendelet szabályozza, amely a kötelező jótállás alá tartozó tartós fogyasztási cikkekre vonatkozik. A jótállás időtartama a termék eladási árától függ: 10 000 forintot meg nem haladó áron nem kötelező, 10 000 és 100 000 forint között 1 év, 100 000 és 250 000 forint között 2 év, 250 000 forint felett pedig 3 év. -
arcitec
addikt
Vannak akik jogszerűen tudnának ehhez hozzászólni, de a leírtak alapján, ha az ajtóra 1 év a garancia és a beépítésre is, akkor az bizony lejárt, vagy is mára már nincs ingyenes kijavítás. Az is kérdés a leírásból nem derül ki mi okozta a hibát, még a ház állaga is beleszólhat úgy amúgy, de persze ez csak feltételezés.
Kereshetsz még egy másik brigádot akik a hiba felmérést akár ingyen elvégzik és akkor nincs kiszállási díj sem... Szerintem ... -
kiir
tag
Kedves Hozzáértőbbek!
Házfelújítás során új bejárati ajtót építettek be nekem tavaly áprilisban. Az ajtó mostanra "meglógott", alig akar záródni a kilincse (eredetileg jó volt). Jeleztem a kereskedésnek, akitől vettem, és aki a beszerelést alvállalkozóval végeztette. Ő továbbdobott a beszerelőknek, hogy velük vegyem fel a kapcsolatot, és ők majd kiszállási díjért fölmérik, és aztán meglátjuk. Próbálok utánajárni, hogy a kiszállási díj ebben az esetben jogos-e.
Az ajtó majd' millió forint volt, a beszerelés még külön 180 ezer (mondjuk az több más ajtóval együtt). A beszerelést az ajtóval egyben, ugyanabban a kereskedésben rendeltem meg. Az ajtót nyilván egy gyár gyártotta, a beszerelést pedig egy alvállakozó végezte -- de én ővelük nem voltam szerződésben. Van egy "keretszerződés" is, abban az szerepel, hogy a Szállító az általa végzett beépítésre 1 év jótállást vállal, az ajtó ügyében meg forduljak a gyárhoz.
Na most az egy éven nyilván túl vagyunk. Intuitíve mégis hülyeségnek tűnik, hogy egy másfél éves bejárati ajtót külön díjért hozzanak beszereléskori állapotba, ez így olyan, mintha egy "előfizetéses" ajtót vettem volna, ami csak az éves díjért cserébe hajlandó működni. (Ugye, ha kiszállási díj van, akkor majd szerelési díj is lesz, meg anyagköltség, meg fittyfene.)
A kérdésem az lenne, hogy a beépítés aktusa valóban önálló jótállásnak minősül-e, ami a terméktől elválik. Illetve, ha igen: ki és hogyan dönti el, hogy a felmerült hiba a terméké vagy a beépítésé?
Köszönöm előre is, ha valaki kicsit eligazít a dzsungelben.
-
Jester01
veterán
válasz
fausto
#28203
üzenetére
151/2003. (IX. 22.) Korm. rendelet
6. § (1) A rögzített bekötésű, illetve a 10 kg-nál súlyosabb, vagy tömegközlekedési eszközön kézi csomagként nem szállítható fogyasztási cikket – a járművek kivételével – az üzemeltetés helyén kell megjavítani.
(2) Ha a kijavítás az üzemeltetés helyén nem végezhető el, a le- és felszerelésről, valamint az el- és visszaszállításról a vállalkozás, vagy – a javítószolgálatnál közvetlenül érvényesített kijavítás iránti igény esetén – a javítószolgálat gondoskodik. -
fausto
addikt
Sziasztok,
Elméleti kérdésem lenne: ha veszek beépíthető cuccot (pl. egy beépíthető főzőlapot vagy konyhabútorba szerelt sütőt) és jótállási időn belül valami baja lesz, akkor a jótállásos keretek között mit kell biztosítani az eladónak/gyártónak? Nekem kell állni a ki- és visszaszerelés kölcségét és nekem kell leadnom javításra?
Köszi előre is!
Új hozzászólás
- Okos otthon - Home Assistant, openHAB és más nyílt rendszerek
- MasterDeeJay: Olcsó használt workstation építése. (Dell T5810, 18 mag, 64Gb ram)
- Napelem
- PlayStation 5
- TCL LCD és LED TV-k
- Hardcore café
- Sweet.tv - internetes TV
- Apple iPhone Air - almacsutka
- Fejhallgató erősítő és DAC topik
- Medence topik
- További aktív témák...
- AKCIÓ! Intel Core i9 9900K 8 mag 16 szál processzor garanciával hibátlan működéssel
- Apple iPhone SE (2020) / 64GB / Kártyafüggetlen / 12Hó Garancia / Akku:82%
- Samsung Galaxy S26 Ultra - White - 512GB - BONTATLAN - TELJESEN ÚJ - 3 Év Jótállás
- AKCIÓ! Intel Core i7 6700 4 mag 8 szál processzor garanciával hibátlan működéssel
- Xiaomi Redmi Note 13 Pro+ / 12/512GB / Kártyafüggetlen / 12Hó Garancia
Állásajánlatok
Cég: Laptopműhely Bt.
Város: Budapest
És ez azért elég sok mindennel van így, nyilván van, hogy szigorúbban is.

![;]](http://cdn.rios.hu/dl/s/v1.gif)



